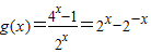
题目内容
已知函数(1)求m+n的值;
(2)设
【答案】分析:(1)由g(x)为定义在R上的奇函数,得g(0)=0,解得n=1;再根据偶函数满足f(-x)=f(x),比较系数可得m=-
,由此即可得到m+n的值.
(2)由(1)得h(x)=log4(4x+1),易得h[log4(2a+1)]=log4(2a+2).而定义在R上的增函数g(x)在x≥1时的最小值为g(1)=
,从而不等式转化成
>log4(2a+2),由此再结合真数必须大于0,不难解出实数a的取值范围.
解答:解:(1)由于g(x)为奇函数,且定义域为R,
∴g(0)=0,即
,…(3分)
∵
,
∴
,
∵f(x)是偶函数,
∴f(-x)=f(x),得mx=-(m+1)x恒成立,故
,
综上所述,可得
;…(4分)
(2)∵
,
∴h[log4(2a+1)]=log4(2a+2),…(2分)
又∵
在区间[1,+∞)上是增函数,
∴当x≥1时,
…(3分)
由题意,得
,
因此,实数a的取值范围是:
.…(3分)
点评:本题给出含有指数和对数形式的函数,在已知奇偶性的情况下求参数m、n的值,并讨论不等式恒成立的问题,着重考查了对数函数图象与性质的综合应用、函数的奇偶性和不等式恒成立等知识点,属于中档题.
(2)由(1)得h(x)=log4(4x+1),易得h[log4(2a+1)]=log4(2a+2).而定义在R上的增函数g(x)在x≥1时的最小值为g(1)=
解答:解:(1)由于g(x)为奇函数,且定义域为R,
∴g(0)=0,即
∵
∴
∵f(x)是偶函数,
∴f(-x)=f(x),得mx=-(m+1)x恒成立,故
综上所述,可得
(2)∵
∴h[log4(2a+1)]=log4(2a+2),…(2分)
又∵
∴当x≥1时,
由题意,得
因此,实数a的取值范围是:
点评:本题给出含有指数和对数形式的函数,在已知奇偶性的情况下求参数m、n的值,并讨论不等式恒成立的问题,着重考查了对数函数图象与性质的综合应用、函数的奇偶性和不等式恒成立等知识点,属于中档题.
练习册系列答案
相关题目