题目内容
如图所示,在虚线MN的上方存在磁感应强度为B的匀强磁场,方向垂直纸面向里.质子和α粒子以相同的速度v由MN上的O点进人磁场区域,v与MN和磁场方向均垂直.最后它们分别从MN上的P、Q两点离开磁场.已知质子的质量为m,电荷量为e,α粒子的质量为4m,电荷量为2e,不计两粒子的重力和它们之间的相互作用力,求:(1)P、Q两点间的距离;
(2)α粒子在磁场中的运动时间.
【答案】分析:质子和α粒子在磁场中做匀速圆周运动,洛伦兹力提供向心力,写出它们的动力学方程,即可求得它们的半径,P、Q两点间的距离是它们运动的直径的差;
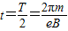
根据公式
即可求出它们运动的周期.
解答:解:(1)质子进入磁场后做半径为R1的匀速圆周运动,洛伦兹力提供向心力:
;
解得:
质子离开磁场时距O的距离:
同理,α粒子在磁场中的运动半径:
α粒子离开磁场时距O的距离:
由此可以看出质子由P点离开磁场,α粒子由Q点离开磁场P、Q两点间的距离:
(2)α粒子在磁场中的运动的周期为T,则:
粒子运动的时间:
答:(1)P、Q两点间的距离
;
(2)α粒子在磁场中的运动时间
点评:该题考查带电粒子在磁场中运动的半径与周期的公式的推动与应用.属于基础性的题目,难度适中.
根据公式
解答:解:(1)质子进入磁场后做半径为R1的匀速圆周运动,洛伦兹力提供向心力:
解得:
质子离开磁场时距O的距离:
同理,α粒子在磁场中的运动半径:
α粒子离开磁场时距O的距离:
由此可以看出质子由P点离开磁场,α粒子由Q点离开磁场P、Q两点间的距离:
(2)α粒子在磁场中的运动的周期为T,则:
粒子运动的时间:
答:(1)P、Q两点间的距离
(2)α粒子在磁场中的运动时间
点评:该题考查带电粒子在磁场中运动的半径与周期的公式的推动与应用.属于基础性的题目,难度适中.
练习册系列答案
相关题目