ÌâÄ¿ÄÚÈÝ
ÈçͼËùʾ£¬AΪ¾²Ö¹ÓÚµØÇò³àµÀÉϵÄÎïÌ壬BÎªÈÆµØÇò×öÍÖÔ²¹ìµÀÔËÐеÄÎÀÐÇ£¬CÎªÈÆµØÇò×öÔ²ÖÜÔ˶¯µÄÎÀÐÇ£¬PΪB¡¢CÁ½ÎÀÐǹìµÀµÄ½»µã£®ÒÑÖªA¡¢B¡¢CÈÆµØÐÄÔ˶¯µÄÖÜÆÚÏàͬ£®Ïà¶ÔÓÚµØÐÄ£¬ÏÂÁÐ˵·¨ÖÐÕýÈ·µÄÊÇ£¨ £©
![]()
A£®ÎïÌåAºÍÎÀÐÇC¾ßÓÐÏàͬ´óСµÄ¼ÓËÙ¶È
B£®ÎÀÐÇCµÄÔËÐÐËÙ¶È´óÓÚÎïÌåAµÄËÙ¶È
C£®¿ÉÄܳöÏÖ£ºÔÚÿÌìµÄijһʱ¿ÌÎÀÐÇBÔÚAµÄÕýÉÏ·½
D£®ÎÀÐÇBÔÚPµãµÄÔËÐмÓËÙ¶È´óСÓëÎÀÐÇCÔڸõãÔËÐмÓËÙ¶ÈÏàµÈ
¡¾´ð°¸¡¿
BCD
¡¾½âÎö¡¿
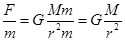
ÊÔÌâ·ÖÎö£ºÎïÌåAºÍÎÀÐÇCµÄÖÜÆÚÏàµÈ£¬Ôò½ÇËÙ¶ÈÏàµÈ£¬¸ù¾Ý
Öª£¬°ë¾¶Ô½´ó£¬ÏòÐļÓËÙ¶ÈÔ½´ó£¬ÏßËÙ¶ÈÔ½´ó£®ËùÒÔA´íÎó£¬BÕýÈ·£» A¡¢BµÄÖÜÆÚÏàͬ£¬¿ÉÄܳöÏÖÔÚÿÌìµÄijһʱ¿ÌÎÀÐÇBÔÚAµÄÕýÉÏ·½£®¹ÊCÕýÈ·£»¸ù¾Ý
Öª£¬Á½ÎÀÐǾàÀëµØÐĵľàÀëÏàµÈ£¬Ôò¼ÓËÙ¶ÈÏàµÈ£®¹ÊDÕýÈ·£®
¿¼µã£ºÈËÔìÎÀÐǵļÓËÙ¶È¡¢ÖÜÆÚºÍ¹ìµÀµÄ¹ØÏµ£¬ÍòÓÐÒýÁ¦¶¨Âɼ°ÆäÓ¦Óá£
Á·Ï°²áϵÁдð°¸
Ïà¹ØÌâÄ¿
| A¡¢ÎÀÐÇCµÄÔËÐÐËÙ¶È´óÓÚÎïÌåAµÄËÙ¶È | B¡¢ÎïÌåAºÍÎÀÐÇC¾ßÓÐÏàͬ´óСµÄ¼ÓËÙ¶È | C¡¢ÎÀÐÇBÔÚ½üµØµãµÄËÙ¶È´óÓÚÎÀÐÇCµÄËÙ¶È | D¡¢ÎÀÐÇBÔÚPµãµÄ¼ÓËÙ¶ÈÓëÎÀÐÇCÔڸõã¼ÓËٶȲ»ÏàµÈ |