题目内容
如图所示,固定于同一条竖直线上的A、B是两个带等量异种电荷的点电荷,电荷量分别为+Q和-Q,A、B相距为2d.MN是竖直放置的光滑绝缘细杆,另有一个穿过细杆的带电小球p,质量为m、电荷量为+q(可视为点电荷,不影响电场的分布.),现将小球p从与点电荷A等高的C处由静止开始释放,小球p向下运动到距C点距离为d的O点时,速度为v.已知MN与AB之间的距离为d,静电力常量为k,重力加速度为g.求:(1)C、O间的电势差UCO;
(2)O点处的电场强度E的大小;
(3)小球p经过O点时的加速度;
(4)小球p经过与点电荷B等高的D点时的速度.
【答案】分析:要求解电势差,我们应该去想电势差与电场力做功的关系,
要求解电场力做功我们想到运用动能定理.
一个物理量的求解我们应该去找出与这个物理量有关的已知物理量,可以根据所求的物理量反向思考.
小球p经过O点时受力分析,根据电场强度的定义式求解电场强度.
对于变加速直线运动求速度,我们应该首选动能定理求解.
解答:
解:(1)小球p由C运动到O时,由动能定理,
得:
①
∴
②
(2)小球p经过O点时受力如图:由库仑定律得:
它们的合力为:
③
∴O点处的电场强度
,④
(3)由牛顿第二定律得:mg+qE=ma⑤
∴
⑥
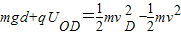
(4)小球p由O运动到D的过程,由动能定理得:
⑦
由电场特点可知:UCO=UOD⑧
联立①⑦⑧解得:
⑨
答:(1)C、O间的电势差UCO是
(2)O点处的电场强度E的大小是
;
(3)小球p经过O点时的加速度是
;
(4)小球p经过与点电荷B等高的D点时的速度是
.
点评:选取研究过程,运用动能定理解题.动能定理的优点在于适用任何运动包括曲线运动.
了解研究对象的运动过程是解决问题的前提,根据题目已知条件和求解的物理量选择物理规律解决问题.
要求解电场力做功我们想到运用动能定理.
一个物理量的求解我们应该去找出与这个物理量有关的已知物理量,可以根据所求的物理量反向思考.
小球p经过O点时受力分析,根据电场强度的定义式求解电场强度.
对于变加速直线运动求速度,我们应该首选动能定理求解.
解答:
得:
∴
(2)小球p经过O点时受力如图:由库仑定律得:
它们的合力为:
∴O点处的电场强度
(3)由牛顿第二定律得:mg+qE=ma⑤
∴
(4)小球p由O运动到D的过程,由动能定理得:
由电场特点可知:UCO=UOD⑧
联立①⑦⑧解得:
答:(1)C、O间的电势差UCO是
(2)O点处的电场强度E的大小是
(3)小球p经过O点时的加速度是
(4)小球p经过与点电荷B等高的D点时的速度是
点评:选取研究过程,运用动能定理解题.动能定理的优点在于适用任何运动包括曲线运动.
了解研究对象的运动过程是解决问题的前提,根据题目已知条件和求解的物理量选择物理规律解决问题.
练习册系列答案
相关题目