ÌâÄ¿ÄÚÈÝ
¼×£®ÒÒÁ½Öʵãͬʱ¿ªÊ¼ÔÚ±Ë´ËÆ½ÐÐÇÒ¿¿½üµÄÁ½Ë®Æ½¹ìµÀÉÏͬ·½ÏòÔ˶¯£¬¼×ÔÚǰ£¬ÒÒÔÚºó£¬Ïà¾às£¬¼×³õËÙ¶ÈΪÁ㣬¼ÓËÙ¶ÈΪa£¬×öÔȼÓËÙÖ±ÏßÔ˶¯£¬ÒÒÒÔËÙ¶Èv×öÔÈËÙÖ±ÏßÔ˶¯£¬¹ØÓÚÁ½ÖʵãÔÚÏàÓöǰµÄÔ˶¯£¬Ä³Í¬Ñ§×÷ÈçÏ·ÖÎö£ºÉèÁ½ÖʵãÏàÓöǰ£¬ËüÃÇÖ®¼äµÄ¾àÀëΪ?s£¬Ôò?s=
Äã¾õµÃËûµÄ·ÖÎöÊÇ·ñÕýÈ·£¿ÈçÈÏΪÊÇÕýÈ·µÄ£¬ÇëÇó³öËüÃǵÄ×îС¾àÀ룻ÈçÈÏΪÊDz»ÕýÈ·µÄ£¬Çë˵Ã÷ÀíÓɲ¢×÷³öÕýÈ··ÖÎö£®
¡¾´ð°¸¡¿·ÖÎö£º¼××öÔȼÓËÙÖ±ÏßÔ˶¯£¬ÒÒ×öÔÈËÙÖ±ÏßÔ˶¯£¬¿ÉÄÜËÙ¶ÈÏàµÈʱ£¬¼×ÒÒÁ½ÎïÌåÏàÓö£¬×îС¾àÀëΪ0£»¿ÉÄÜËÙ¶ÈÏàµÈʱ£¬ÒÒδ׷Éϼף¬ÔòËÙ¶ÈÏàµÈʱ£¬ÓÐ×îС¾àÀ룬ÒòΪÒÔºóÒÒµÄËÙ¶ÈСÓÚ¼×µÄËÙ¶È£¬Á½Õß¾àÀëÖð½¥Ôö´ó£»ÓпÉÄÜËÙ¶ÈÏàµÈǰ£¬Á½ÎïÌåÒÑÏàÓö£¬ËÙ¶ÈÏàµÈºó£¬¼×µÄËÙ¶È´óÓÚÒÒµÄËÙ¶È£¬È»ºó¼×ÓÖ×·ÉÏÒÒ²¢³¬Ô½£®
½â´ð£º½â£º²»ÕýÈ·£®
ÔÚÁ½ÖʵãÏàÓö֮ǰ£¬ËüÃÇÖ®¼äµÄ¾àÀësÒ²¿ÉÄܲ»¶Ï¼õС£¬Ö±ÖÁ¡÷s=0£¨ÏàÓö£©£¬¶ø²»´æÏȱäСºó±ä´óµÄÇé¿ö£¬ÕâÍêȫȡ¾öÓÚÁ½ÖʵãÖ®¼äµÄ³õʼ¾àÀësÓëv¡¢a Ö®¼äµÄ´óС¹ØÏµ£®
ÓÉs=v t-
at2 ¿É½âµÃ£ºt=
£®
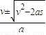
¿É¼û£¬Èô v2=2as£¬¼´s=
£¬Ôò
£®µ±
ʱ£¬¼×ÒÒÖ®¼äµÄ¾àÀë¡÷sʼÖÕÔÚ¼õС£¬Ö±ÖÁÏàÓö£¨×îС¾àÀë¡÷s=0£©£¬²»»á³öÏÖs×îСµÄÇé¿ö
µ±v2£¼2as£¬¼´s£¾
ʱ£¬¼×ÓëÒÒ²»¿ÉÄÜÏàÓö£»
ÔÚ t£¼
ʱ£¬Á½Öʵã¼ä¾àÀë»á³öÏÖÏȱäСºó±ä´óµÄÇé¿ö£¬µ± t=
ʱ£¬Á½ÖʵãÖ®¼äµÄ¾àÀë×î½ü£º¡÷smin=s-
£®
´ð£ºÔÚ t£¼
ʱ£¬Á½Öʵã¼ä¾àÀë»á³öÏÖÏȱäСºó±ä´óµÄÇé¿ö£¬µ± t=
ʱ£¬Á½ÖʵãÖ®¼äµÄ¾àÀë×î½ü£º¡÷smin=s-
£®
µãÆÀ£º½â¾ö±¾ÌâµÄ¹Ø¼üÀíÇåÁ½ÎïÌåµÄÔ˶¯Çé¿ö£¬½áºÏÔ˶¯Ñ§¹«Ê½Áé»îÇó½â£®
½â´ð£º½â£º²»ÕýÈ·£®
ÔÚÁ½ÖʵãÏàÓö֮ǰ£¬ËüÃÇÖ®¼äµÄ¾àÀësÒ²¿ÉÄܲ»¶Ï¼õС£¬Ö±ÖÁ¡÷s=0£¨ÏàÓö£©£¬¶ø²»´æÏȱäСºó±ä´óµÄÇé¿ö£¬ÕâÍêȫȡ¾öÓÚÁ½ÖʵãÖ®¼äµÄ³õʼ¾àÀësÓëv¡¢a Ö®¼äµÄ´óС¹ØÏµ£®
ÓÉs=v t-
¿É¼û£¬Èô v2=2as£¬¼´s=
µ±v2£¼2as£¬¼´s£¾
ÔÚ t£¼
´ð£ºÔÚ t£¼
µãÆÀ£º½â¾ö±¾ÌâµÄ¹Ø¼üÀíÇåÁ½ÎïÌåµÄÔ˶¯Çé¿ö£¬½áºÏÔ˶¯Ñ§¹«Ê½Áé»îÇó½â£®
Á·Ï°²áϵÁдð°¸
Ïà¹ØÌâÄ¿
| A¡¢¼×ÎïÌå×öÔȼÓËÙÖ±ÏßÔ˶¯£¬ÒÒÎïÌå×öÇúÏßÔ˶¯ | B¡¢¼×¡¢ÒÒÁ½ÎïÌå´ÓͬһµØµã³ö·¢ | C¡¢µ±¼×¡¢ÒÒÁ½ÎïÌåËÙ¶ÈÏàͬʱ£¬¶þÕßÖ®¼äµÄ¾àÀëΪÁã | D¡¢µ±¼×¡¢ÒÒÁ½ÎïÌåÓÐÁ½´ÎÏàÓö |