题目内容
如图所示,从倾角为θ的斜面上的M点水平抛出一个小球,小球的初速度为v,最后小球落在斜面上的N点,求:(1)小球的运动时间;
(2)小球到达N点时的速度.
【答案】分析:小球做的是平抛运动,研究平抛运动的方法是把平抛运动分解到水平方向和竖直方向去研究,水平方向做匀速直线运动,竖直方向做自由落体运动,两个方向上运动的时间相同.
解答:解:(1)水平方向有:x=vt
竖直方向有:
tan
解得:t=
(2)竖直方向速度为:vy=gt;
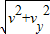
v=
=
答:(1)小球的运动时间为
;
(2)小球到达N点时的速度为
.
点评:本题就是对平抛运动规律的考查,平抛运动可以分解为在水平方向上的匀速直线运动,和竖直方向上的自由落体运动来求解.
解答:解:(1)水平方向有:x=vt
竖直方向有:
tan
解得:t=
(2)竖直方向速度为:vy=gt;
v=
答:(1)小球的运动时间为
(2)小球到达N点时的速度为
点评:本题就是对平抛运动规律的考查,平抛运动可以分解为在水平方向上的匀速直线运动,和竖直方向上的自由落体运动来求解.
练习册系列答案
相关题目
| A、8J | B、12J | C、14J | D、16J |