题目内容
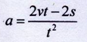
如图所示,一小球从斜面上的A点由静止下滑作匀变速直线运动,先后经过B、C两点。已知小球从B运动到C点的时间为t,B、C两点间的距离为S,小球到达C点时的速度为v,求小球的加速度大小。
![]()
【答案】
![]()
【解析】略
练习册系列答案
相关题目
| A、在轨道最低点、最高点,轨道对小球作用力的方向是相同的 | B、小球的初位置比圆轨道最低点高出2R时,小球能通过圆轨道的最高点 | C、小球的初位置比圆轨道最低点高出0.5R时,小球在运动过程中能不脱离轨道 | D、小球的初位置只有比圆轨道最低点高出2.5R时,小球在运动过程中才能不脱离轨道 |