题目内容
如图所示,靠摩擦传动做匀速转动的大、小两轮接触面互不打滑,大轮半径是小轮半径的2倍.A、B分别为大、小轮边缘上的点,C为大轮上一条半径的中点.则( )A.两轮转动的角速度相等
B.大轮转动的角速度是小轮的2倍
C.质点加速度aA=2aB
D.质点加速度aB=4aC
【答案】分析:靠摩擦传动做匀速转动的大、小两轮接触面互不打滑,知A、B两点具有相同的线速度,A、C共轴转动,则角速度相等.根据v=rω,a=rω2,可得出角速度和加速度的关系.
解答:解:A、靠摩擦传动做匀速转动的大、小两轮接触面互不打滑,知A、B两点具有相同的线速度.故A错误.
B、根据v=rω,vA=vB,知小轮转动的角速度是大轮的两倍.故B错误.
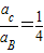
C、A、B两点具有相同的线速度,根据
,知
.故C错误.
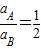
D、A、B具有相同的线速度,根据v=rω,
,A、C具有相同的角速度,
.根据a=rω2,
.故D正确.
故选D.
点评:解决本题的关键掌握靠摩擦传动轮子边缘上的点,具有相同的线速度,共轴转动的点,具有相同的角速度.
解答:解:A、靠摩擦传动做匀速转动的大、小两轮接触面互不打滑,知A、B两点具有相同的线速度.故A错误.
B、根据v=rω,vA=vB,知小轮转动的角速度是大轮的两倍.故B错误.
C、A、B两点具有相同的线速度,根据
D、A、B具有相同的线速度,根据v=rω,
故选D.
点评:解决本题的关键掌握靠摩擦传动轮子边缘上的点,具有相同的线速度,共轴转动的点,具有相同的角速度.
练习册系列答案
相关题目
| A、两轮转动的角速度相等 | B、大轮转动的角速度是小轮的2倍 | C、质点加速度aA=2aB | D、质点加速度aA=2aC |