题目内容
一电阻为R的金属圆环,放在磁场中,磁场与圆环所在平面垂直,如图(a),已知通过圆环的磁通量随时间t的变化关系如图(b),图中的最大磁通量φ和变化周期T都是已知量,求:(1)在t=0到t=T/4的时间内,通过金属圆环横截面的电荷量q;
(2)在t=0到t=2T的时间内,金属环所产生的电热Q.
【答案】分析:(1)由法拉第电磁感应定律来求出感应电动势大小,再由闭合电路欧姆定律与电量表达式来综合,即可求解;
(2)通过法拉第电磁感应定律求出各段时间内的感应电动势大小,再通过焦耳定律与欧姆定律来综合求解.
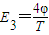
解答:解:(1)由磁通量随时间变化的图线可知在t=0到t=
时间内,
环中的感应电动势为
在以上时段内,环中的电流为
则在这段时间内通过金属环某横截面的电量q=I1t
联立求解得
(2)在t=
到t=
和t=
到t=T时间内,环中的感应电动势E1=0
在t=0到t=
和t=
到t=
时间内,环中的感应电动
由欧姆定律可知在以上时段内,环中的电流为
在t=0到t=2T时间内金属环所产生的电热为
联立求解得Q=16
答:(1)在t=0到t=
的时间内,通过金属圆环横截面的电荷量得
;
(2)在t=0到t=2T的时间内,金属环所产生的电热Q=16
.
点评:考查学生对法拉第电磁感应定律、欧姆定律、焦耳定律的理解与掌握,注意要分时段来求感应电动势及焦耳热.
(2)通过法拉第电磁感应定律求出各段时间内的感应电动势大小,再通过焦耳定律与欧姆定律来综合求解.
解答:解:(1)由磁通量随时间变化的图线可知在t=0到t=
环中的感应电动势为
在以上时段内,环中的电流为
则在这段时间内通过金属环某横截面的电量q=I1t
联立求解得
(2)在t=
在t=0到t=
由欧姆定律可知在以上时段内,环中的电流为
在t=0到t=2T时间内金属环所产生的电热为
联立求解得Q=16
答:(1)在t=0到t=
(2)在t=0到t=2T的时间内,金属环所产生的电热Q=16
点评:考查学生对法拉第电磁感应定律、欧姆定律、焦耳定律的理解与掌握,注意要分时段来求感应电动势及焦耳热.
练习册系列答案
相关题目
一电阻为R的金属圆环,放在匀强磁场中,磁场与圆环所在平面垂直,如图所示.磁场对圆环的磁通随时间t的变化关系如图所示,图中的最大磁通量φ0和变化周期T都是已知量.求在t=2T时间内,金属环中消耗的电能.
