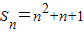
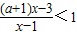
0  75224  75232  75238  75242  75248  75250  75254  75260  75262  75268  75274  75278  75280  75284  75290  75292  75298  75302  75304  75308  75310  75314  75316  75318  75319  75320  75322  75323  75324  75326  75328  75332  75334  75338  75340  75344  75350  75352  75358  75362  75364  75368  75374  75380  75382  75388  75392  75394  75400  75404  75410  75418  266669 

违法和不良信息举报电话:027-86699610 举报邮箱:58377363@163.com

精英家教网