题目内容
关于x的一元二次方程x2-2ax+a2-1=0的两个根均在区间(-2,4)内的必要不充分条件是( )A.a<-1
B.-1<a<3
C.0<a<3
D.a<3
【答案】分析:由由关于x的一元二次方程x2-2ax+a2-1=0的两个根均在区间(-2,4)内,可以推出-1<a<3,由必要不充分条件的定义得出,所有(-1,3)的真子集都可以作本题的答案.
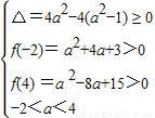
解答:解:根据题意可得,由关于x的一元二次方程x2-2ax+a2-1=0的两个根均在区间(-2,4)内,令f(x)=x2-2ax+a2-1,
则有
,解得-1<a<3.
由于所求的集合应该是(-1,3)的真子集,
故选 C.
点评:本题考查必要条件、充分与充要条件的判断,求解本题的关键是解出程x2-2x-a+2=0有实数根的条件,以及对充分条件、必要条件的正确理解,属于基础题.
解答:解:根据题意可得,由关于x的一元二次方程x2-2ax+a2-1=0的两个根均在区间(-2,4)内,令f(x)=x2-2ax+a2-1,
则有
由于所求的集合应该是(-1,3)的真子集,
故选 C.
点评:本题考查必要条件、充分与充要条件的判断,求解本题的关键是解出程x2-2x-a+2=0有实数根的条件,以及对充分条件、必要条件的正确理解,属于基础题.
练习册系列答案
相关题目