搜索
已知等比数列{a
n
}的前三项依次为a-1,a+1,a+4,则数列的通项公式a
n
=
[ ]
A、
B、
C、
D、
已知数列{a
n
}的前n项和是S
n
,且S
n
+
a
n
=1,
(Ⅰ)求数列{a
n
}的通项公式;
(Ⅱ)设b
n
=log
3
(1-S
n+1
),求适合方程
的n的值。
已知数列{a
n
-n}是等比数列,且满足a
1
=2,a
n+1
=3a
n
-2n+1,n∈N*,
(Ⅰ)求数列{a
n
}的通项公式a
n
;
(Ⅱ)求数列{a
n
}的前n项和S
n
。
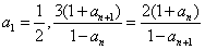
设
a
1
=2,
,n∈N*,则数列{b
n
}的通项公式b
n
=( )。
设数列{a
n
}的前n项和为S
n
,已知a
1
=a,a
n+1
=S
n
+3
n
,n∈N*,
(Ⅰ)设b
n
=S
n
-3
n
,求数列{b
n
}的通项公式;
(Ⅱ)若a
n+1
≥a
n
,n∈N*,求a的取值范围。
已知数列{a
n
},a
1
=1,a
n+1
=2a
n
(n∈N*),则a
4
=( )。
已知等比数列{a
n
},a
1
=1,且4a
1
、2a
2
、a
3
成等差数列,则a
2
+a
3
+a
4
=
[ ]
A.7
B.12
C.14
D.64
已知数列{a
n
}中,a
1
=t,a
2
=t
2
(t>0),且a
n+1
=(t+1)a
n
-ta
n-1
(n≥2),
(1)若t≠1,求证:数列{a
n+1
-a
n
}是等比数列;
(2)求数列{a
n
}的通项公式;
(3)若
<t<2,b
n
=
(n∈N*),试比较
与
的大小。
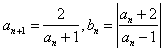
设a
1
=2,a
n+1
=
,b
n
=|
|,n∈N*,则数列{b
n
}的通项b
n
=( )。
已知数列{a
n
}满足:
,a
n
a
n+1
<0(n≥1);数列{b
n
}满足:b
n
=a
n+1
2
-a
n
2
(n≥1)。
(1)求数列{a
n
},{b
n
}的通项公式;
(2)证明:数列{b
n
}中的任意三项不可能成等差数列。
0
19609
19617
19623
19627
19633
19635
19639
19645
19647
19653
19659
19663
19665
19669
19675
19677
19683
19687
19689
19693
19695
19699
19701
19703
19704
19705
19707
19708
19709
19711
19713
19717
19719
19723
19725
19729
19735
19737
19743
19747
19749
19753
19759
19765
19767
19773
19777
19779
19785
19789
19795
19803
266669
关 闭
试题分类
高中
数学
英语
物理
化学
生物
地理
初中
数学
英语
物理
化学
生物
地理
小学
数学
英语
其他
阅读理解答案
已回答习题
未回答习题
题目汇总
试卷汇总
练习册解析答案