题目内容
已知数列{an}的前n项和是Sn,且Sn+
an=1,
(Ⅰ)求数列{an}的通项公式;
(Ⅱ)设bn=log3(1-Sn+1),求适合方程
的n的值。
(Ⅰ)求数列{an}的通项公式;
(Ⅱ)设bn=log3(1-Sn+1),求适合方程
解:(Ⅰ)当n=1时,a1=S1,
由
,得
;
当n≥2时,∵
,
∴
,
∴
,
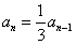
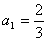
∴{an}是以
为首项,
为公比的等比数列,
故
。
(Ⅱ)
,
,
,
,
解方程
,得n=100。
由
当n≥2时,∵
∴
∴
∴{an}是以
故
(Ⅱ)
解方程
练习册系列答案
相关题目
已知数列{an}的前n项和Sn=an2+bn(a、b∈R),且S25=100,则a12+a14等于( )
| A、16 | B、8 | C、4 | D、不确定 |