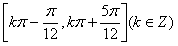
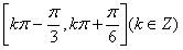
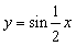
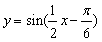
0  18256  18264  18270  18274  18280  18282  18286  18292  18294  18300  18306  18310  18312  18316  18322  18324  18330  18334  18336  18340  18342  18346  18348  18350  18351  18352  18354  18355  18356  18358  18360  18364  18366  18370  18372  18376  18382  18384  18390  18394  18396  18400  18406  18412  18414  18420  18424  18426  18432  18436  18442  18450  266669 

违法和不良信息举报电话:027-86699610 举报邮箱:58377363@163.com

精英家教网