题目内容
函数f(x)=sinx+sin(x+
),x∈R。
(Ⅰ)求函数的值域;
(Ⅱ)求函数的单调区间;
(Ⅲ)求满足f(x)=
的x的集合。
(Ⅰ)求函数的值域;
(Ⅱ)求函数的单调区间;
(Ⅲ)求满足f(x)=
解:

,
(Ⅰ)函数的值域为
;
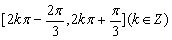
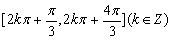
(Ⅱ)单调递增区间为:
,
单调递减区间为:
;
(Ⅲ)令
,
所以
,
即
或
,
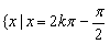
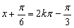
所以,x的集合为
或
。
(Ⅰ)函数的值域为
(Ⅱ)单调递增区间为:
单调递减区间为:
(Ⅲ)令
所以
即
所以,x的集合为
练习册系列答案
相关题目
已知函数f(x)=sin(ωx+
)(x∈R,ω>0)的最小正周期为π,为了得到函数g(x)=cosωx的图象,只要将y=f(x)的图象( )
| π |
| 4 |
A、向左平移
| ||
B、向右平移
| ||
C、向左平移
| ||
D、向右平移
|