搜索
如图,是函数y=Asin(ωx+φ)+2的图像的一部分,它的振幅、 周期、初相各是
[ ]
A.A=3,T=
,φ=-
B.A=1,T=
,φ=-
C.A=1,T=
,φ=-
D.A=1,T=
,φ=-
已知函数
,则函数
的一个单调递增区间为
[ ]
A.
B.
C.
D.
把函数y=sinx(x∈R)图象上所有的点向左平移
个单位长度,再把所得图象上所有点的横坐标缩短到原来的
倍(纵坐标不变),得到的图象所表示的函数是
[ ]
A.
x∈R
B.
x∈R
C.
x∈R
D.
x∈R
已知:
,其中
a
∈R。
(Ⅰ)若x∈R,求
的最小正周期;
(Ⅱ)若
在
上最大值与最小值的之和为3,求
a
的值。
已知定义在区间
上的函数
的图象关于直线
对称,当
时,函数
,其图象如图所示。
(Ⅰ)求函数
在
的表达式;
(Ⅱ)求方程
的解。
(Ⅲ)是否存在常数m的值,使得
在
上恒成立;若存在,求出m的取值范围;若不存在,请说明理由。
若函数y=Asin(ωx+φ)+m的最大值为4,最小值为0,最小正周期为
,直线
是其图象的一条对称轴,则它的一个解析式是
[ ]
A.y=4sin(4x+
)
B.y=2sin(2x+
)+2
C.y=2sin(4x+
)+2
D.y=2sin(4x+
)+2
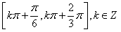
已知
,则下列结论中正确的是
[ ]
A.函数
的周期为2
B.函数
的最大值为1
C.将
的图象向左平移
个单位后得到
的图象
D.将
的图象向右平移
个单位后得到
的图象
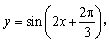
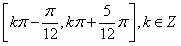
已知函数
,
的图象与直线y=2的两个相邻交点的距离等于
,则
的单调增区间
[ ]
A.
B.
C.
D.
设函数
,其中向量
,
。
(1)求函数
的最小正周期和单调递增区间;
(2)当
时,求实数m的值,使函数
的值域恰为
。
若函数f(x)=
a
sinx-bcosx在x=
处有最小值-2,则常数
a
、b的值是
[ ]
A.
a
=-1,b=
B.
a
=1,b=
C.
a
=
,b=-1
D.
a
=
,b=1
0
18251
18259
18265
18269
18275
18277
18281
18287
18289
18295
18301
18305
18307
18311
18317
18319
18325
18329
18331
18335
18337
18341
18343
18345
18346
18347
18349
18350
18351
18353
18355
18359
18361
18365
18367
18371
18377
18379
18385
18389
18391
18395
18401
18407
18409
18415
18419
18421
18427
18431
18437
18445
266669
关 闭
试题分类
高中
数学
英语
物理
化学
生物
地理
初中
数学
英语
物理
化学
生物
地理
小学
数学
英语
其他
阅读理解答案
已回答习题
未回答习题
题目汇总
试卷汇总
练习册解析答案