题目内容
设函数
,其中向量
,
。
(1)求函数
的最小正周期和单调递增区间;
(2)当
时,求实数m的值,使函数
的值域恰为
。
(1)求函数
(2)当
解:(1)∵


,
∴函数
的最小正周期
,
可知,当
时,函数单调递增,
解得:
,
故函数的单调递增区间为
。
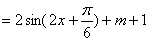
(2)
,
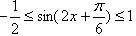
∴
,
∴
,
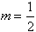
∴
,
又
,
故
。
∴函数
可知,当
解得:
故函数的单调递增区间为
(2)
∴
∴
∴
又
故
练习册系列答案
相关题目