搜索
题目内容
已知:
,其中
a
∈R。
(Ⅰ)若x∈R,求
的最小正周期;
(Ⅱ)若
在
上最大值与最小值的之和为3,求
a
的值。
试题答案
相关练习册答案
解:
,
(Ⅰ)最小正周期
。
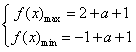
(Ⅱ)
,
∴
,
∴
,
即
,
∴
,即
a
=0。
练习册系列答案
玩加学假期生活暑系列答案
暑假计划兰州大学出版社系列答案
世超金典暑假乐园暑假系列答案
快乐暑假深圳报业集团出版社系列答案
综合暑假作业本系列答案
尚书郎精彩假期暑假篇系列答案
学易优一本通系列丛书赢在假期暑假系列答案
五州图书超越训练系列答案
探究学案专项期末卷系列答案
暑假生活指导山东教育出版社系列答案
相关题目
已知
=1,其中a∈R,则a的取值范围是( )
A.a<0 B.a<2或a≠-2 C.-2<a<2 D.a<-2或a>2
已知函数
,其中a∈R.
(1)若a=2,求曲线y=f(x)在点(1,f(1))处的切线方程;
(2)求f(x)在区间[2,3]上的最大值.
已知函数
(其中a∈R).
(Ⅰ)若函数f(x)在点(1,f(1))处的切线为
,求实数a,b的值;
(Ⅱ)求函数f(x)的单调区间.
已知函数
,其中a∈R.
(Ⅰ)当a=1时,求曲线y=f(x)在原点处的切线方程;
(Ⅱ)求f(x)的单调区间.
已知矩阵
,其中a∈R,若点P(1,1)在矩阵A的变换下得到点P′(0,-3),
(1)求实数a的值;
(2)求矩阵A的特征值及特征向量.
关 闭
试题分类
高中
数学
英语
物理
化学
生物
地理
初中
数学
英语
物理
化学
生物
地理
小学
数学
英语
其他
阅读理解答案
已回答习题
未回答习题
题目汇总
试卷汇总
练习册解析答案