题目内容
已知定义在区间
上的函数
的图象关于直线
对称,当
时,函数
,其图象如图所示。
(Ⅰ)求函数
在
的表达式;
(Ⅱ)求方程
的解。
(Ⅲ)是否存在常数m的值,使得
在
上恒成立;若存在,求出m的取值范围;若不存在,请说明理由。
(Ⅱ)求方程
(Ⅲ)是否存在常数m的值,使得
解:(Ⅰ)
,
∴A=1,
,
,
,
且
过
,
∵
,
∴
,
当
时,
,
而函数
的图象关于
对称,则
,
即
,
,
∴
。
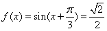
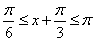
(Ⅱ)当
时,
,
,
或
,
∴
或
;
当
时,
,
或
,
∴
或
为所求。
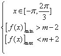
(Ⅲ)由条件得:
在
上恒成立,
即
,
由图象可得:
,
∴
。
∴A=1,
且
∵
∴
当
而函数
即
∴
(Ⅱ)当
∴
当
∴
(Ⅲ)由条件得:
即
由图象可得:
∴
练习册系列答案
相关题目