题目内容
各项为正数的数列{an} 的前n项和为Sn,且满足:Sn=(1)求an;
(2)设函数f(n)=
(3)设λ为实数,对满足m+n=3k且m≠n的任意正整数m、n、k,不等式Sm+Sn>λSk恒成立,求实数λ的最大值.
【答案】分析:(1)由已知可得Sn=
2+
+
(n∈N*)从而导出,(an+an-1)(an-an-1-2)=0,而an为正数,所以an-an-1=2(n≥2),由此推出an的通项公式.
(2)先求出{cn}的通项公式,然后利用等比数列求和公式求解即可,注意讨论n;
(3)根据不等式Sm+Sn>λSk恒成立,将参数λ分离出来,研究不等式另一侧的最值,又m+n=3k且m≠n,利用基本不等式即可求出最值,从而求出实数λ的最大值.
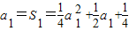
解答:解:(1)由Sn=
2+
+
(n∈N*)…①
得n≥2时,Sn-1=
2+
+
(n∈N*)…②
①-②化简可得,(an+an-1)(an-an-1-2)=0
又an>0,所以当n≥2时,an-an-1=2
∴数列{an} 成等差数列,公差为2
又
则a1=1
∴an=2n-1
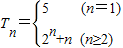
(2)由f(n)=
,
可得c1=f(6)=f(3)=a3=5
c2=f(8)=f(4)=f(2)=f(1)=a1=1
当n≥3时
cn=f(2n+4)=f(2n-1+2)=f(2n-2+1)=2(2n-1+1)-1=2n-1+1
故当n≥3时
Tn=2n+n
∴
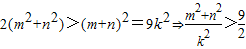
(3)Sm+Sn>λSk⇒m2d2+n2d2>c•k2d2⇒m2+n2>λ•k2,
恒成立.
又m+n=3k且m≠n,
,
故
,即λ的最大值为
.
点评:本题考查数列的性质和应用,以及最值的研究,解题时要认真审题,注意计算能力的培养,属于中档题.
(2)先求出{cn}的通项公式,然后利用等比数列求和公式求解即可,注意讨论n;
(3)根据不等式Sm+Sn>λSk恒成立,将参数λ分离出来,研究不等式另一侧的最值,又m+n=3k且m≠n,利用基本不等式即可求出最值,从而求出实数λ的最大值.
解答:解:(1)由Sn=
得n≥2时,Sn-1=
①-②化简可得,(an+an-1)(an-an-1-2)=0
又an>0,所以当n≥2时,an-an-1=2
∴数列{an} 成等差数列,公差为2
又
∴an=2n-1
(2)由f(n)=
可得c1=f(6)=f(3)=a3=5
c2=f(8)=f(4)=f(2)=f(1)=a1=1
当n≥3时
cn=f(2n+4)=f(2n-1+2)=f(2n-2+1)=2(2n-1+1)-1=2n-1+1
故当n≥3时
Tn=2n+n
∴
(3)Sm+Sn>λSk⇒m2d2+n2d2>c•k2d2⇒m2+n2>λ•k2,
又m+n=3k且m≠n,
故
点评:本题考查数列的性质和应用,以及最值的研究,解题时要认真审题,注意计算能力的培养,属于中档题.
练习册系列答案
相关题目