题目内容
已知函数(Ⅰ)若y=f(x)-g(x)在[1,+∞)上为单调函数,求m的取值范围;
(Ⅱ)设
【答案】分析:(Ⅰ)y=f(x)-g(x)在[1,+∞)上为单调函数,即y′≥0或y′≤0在[1,+∞)上恒成立,从而转化为函数最值处理;
(Ⅱ)构造函数F(x)=f(x)-g(x)-h(x),则在[1,e]上至少存在一个x,使得f(x)-g(x)>h(x)成立,等价于x∈[1,e]时,F(x)max>0,进而转化为求函数最大值问题.
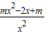
解答:解:(Ⅰ)y=f(x)-g(x)=mx-
-2lnx,y′=
,
由于y=f(x)-g(x)在其定义域内为单调函数,则mx2-2x+m≥0或者mx2-2x+m≤0在[1,+∞)上恒成立,
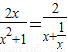
即m
或者m
在[1,+∞)上恒成立,
而0<
≤1,故m≥1或者m≤0,
综上,m的取值范围是(-∞,0]∪[1,+∞).
(Ⅱ)构造函数F(x)=f(x)-g(x)-h(x),F(x)=mx-
-2lnx-
,
①当m≤0时,由x∈[1,e]得,mx-
≤0,-2lnx-
<0,
所以在[1,e]上不存在一个x,使得f(x)-g(x)>h(x);
②当m>0时,F′(x)=m+
-
+
=
,
因为x∈[1,e],所以2e-2x≥0,mx2+m>0,所以F′(x)>0在[1,+∞)上恒成立,故F(x)在x∈[1,e]上单调递增,
F(x)max=me-
-4,只要me-
-4>0,解得m>
,
故m的取值范围是(
,+∞).
点评:本题考查应用导数研究函数的单调性、最值问题,考查学生分析问题解决问题的能力.
(Ⅱ)构造函数F(x)=f(x)-g(x)-h(x),则在[1,e]上至少存在一个x,使得f(x)-g(x)>h(x)成立,等价于x∈[1,e]时,F(x)max>0,进而转化为求函数最大值问题.
解答:解:(Ⅰ)y=f(x)-g(x)=mx-
由于y=f(x)-g(x)在其定义域内为单调函数,则mx2-2x+m≥0或者mx2-2x+m≤0在[1,+∞)上恒成立,
即m
而0<
综上,m的取值范围是(-∞,0]∪[1,+∞).
(Ⅱ)构造函数F(x)=f(x)-g(x)-h(x),F(x)=mx-
①当m≤0时,由x∈[1,e]得,mx-
所以在[1,e]上不存在一个x,使得f(x)-g(x)>h(x);
②当m>0时,F′(x)=m+
因为x∈[1,e],所以2e-2x≥0,mx2+m>0,所以F′(x)>0在[1,+∞)上恒成立,故F(x)在x∈[1,e]上单调递增,
F(x)max=me-
故m的取值范围是(
点评:本题考查应用导数研究函数的单调性、最值问题,考查学生分析问题解决问题的能力.
练习册系列答案
相关题目
已知函数f(x)=a-
,若f(x)为奇函数,则不等式
>2的解集为( )
| 1 |
| 2x |
| f(x)+2 |
| 2x |
| A、(-∞,2) |
| B、(2,+∞) |
| C、(-∞,-2) |
| D、(-2,+∞) |