题目内容
在直角坐标系xoy 中,已知曲线C1:
【答案】分析:化参数方程为普通方程,利用两曲线有一个公共点在x轴上,可得方程,即可求得结论.
解答:解:曲线C1:
(t为参数)化为普通方程:2x+y-3=0,令y=0,可得x=
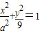
曲线C2:
(θ为参数,a>0 )化为普通方程:
∵两曲线有一个公共点在x轴上,
∴
∴a=
故答案为:
点评:本题考查参数方程化为普通方程,考查曲线的交点,属于基础题.
解答:解:曲线C1:
曲线C2:
∵两曲线有一个公共点在x轴上,
∴
∴a=
故答案为:
点评:本题考查参数方程化为普通方程,考查曲线的交点,属于基础题.
练习册系列答案
相关题目