题目内容


已知:圆Cx2y2-8y+12=0,直线laxy+2a=0.

(1)当a为何值时,直线l与圆C相切;

(2)当直线l与圆C相交于AB两点,且|AB|=2时,求直线l的方程.


解 将圆C的方程x2y2-8y+12=0化成标准方程为x2+(y-4)2=4,则此圆的圆心为(0,4),半径为2.

(1)若直线l与圆C相切,则有=2,

解得a=-.

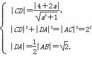
(2)过圆心CCDAB,则根据题意和圆的性质,

解得a=-7或-1.

故所求直线方程为7xy+14=0或xy+2=0.


练习册系列答案
相关题目

违法和不良信息举报电话:027-86699610 举报邮箱:58377363@163.com

精英家教网