题目内容

已知椭圆的对称轴是坐标轴,离心率为,长轴长为,则椭圆方程为(    )

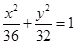
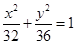
A.                B.

C.                   D.

 

【答案】

C

【解析】

试题分析:设椭圆的长轴长为,短轴长为,焦距为,则,离心率

,故椭圆的方程为,故选C.

考点:1.椭圆的离心率;2.椭圆的标准方程

 

练习册系列答案
相关题目

违法和不良信息举报电话:027-86699610 举报邮箱:58377363@163.com

精英家教网