题目内容
如图,平行六面体ABCD—A1B1C1D1中,以顶点A为端点的三条棱长都为1,且两两夹角为60°.
![]()
(1)求AC1的长;
(2)求
夹角的余弦值.
则|a|=|b|=|c|=1,
<a,b>=<b,c>=<c,a>=60°,
∴a·b=b·c=c·a=
.
![]()
练习册系列答案
相关题目
题目内容
如图,平行六面体ABCD—A1B1C1D1中,以顶点A为端点的三条棱长都为1,且两两夹角为60°.
![]()
(1)求AC1的长;
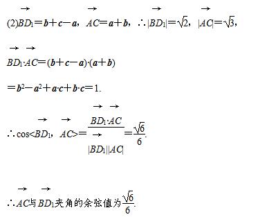
(2)求
夹角的余弦值.
则|a|=|b|=|c|=1,
<a,b>=<b,c>=<c,a>=60°,
∴a·b=b·c=c·a=
.
![]()