题目内容
已知f(2x+1)=x2+x,则f(x)= .
【答案】分析:换元法:令2x+1=t,则x=
,代入可得f(t)的解析式,进而可得f(x)的解析式.
解答:解:令2x+1=t,则x=
,代入可得
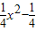
f(t)=
=
,
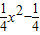
故f(x)=
,
故答案为:
点评:本题考查函数解析式的求法,换元是本题的关键,属基础题.
解答:解:令2x+1=t,则x=
f(t)=
故f(x)=
故答案为:
点评:本题考查函数解析式的求法,换元是本题的关键,属基础题.
练习册系列答案
相关题目