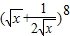
题目内容
A.
B.
C.
D.105
【答案】分析:在
的展开式通项公式中,令x的幂指数等于零,求出r的值,即可求得展开式中常数项.
解答:解:
的展开式通项公式为Tr+1=
=
,
令
=0,r=4.
故展开式中常数项为
=
,
故选B.
点评:本题主要考查二项式定理,二项展开式的通项公式,求展开式中某项的系数,属于中档题.
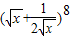
解答:解:
令
故展开式中常数项为
故选B.
点评:本题主要考查二项式定理,二项展开式的通项公式,求展开式中某项的系数,属于中档题.
练习册系列答案
相关题目