题目内容

在三棱柱ABC-A1B1C1中,AB=BC=CA=AA1=2,侧棱AA1⊥面ABC,D、E分别是棱A1B1、AA1的中点,点F在棱AB上,且

(I)求证:EF∥平面BDC1

(II)求二面角E-BC1-D的余弦值

 

【答案】

(I)详见解析;(II)二面角E-BC1-D的余弦值为 

【解析】

试题分析:(I)由于EF与BD在同一个平面内,显然考虑在ABB1A1这个平面内证明这两条直线平行,这完全就是平面几何的问题了 取AB的中点M,,所以F为AM的中点,又因为E为的中点,所以 又分别为的中点,,且,所以四边形为平行四边形,,由此可得平面 

(II)取AB的中点M,则MB、MC、MD两两垂直,所以可以以M为原点建立空间直角坐标系,利用空间向量求二面角E-BC1-D的余弦值  

试题解析:(I)证明:取AB的中点M,

,所以F为AM的中点,又因为E为的中点,所以 

在三棱柱中,分别为的中点,

,且

所以四边形为平行四边形,

,又平面平面

所以平面 

(II)以AB的中点M为原点建立空间直角坐标系如图所示,

 

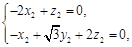
设面BC1D的一个法向量为,面BC1E的一个法向量为

则由

又由

故二面角E-BC1-D的余弦值为                    12分

考点:1、空间直线与平面的位置关系;2、空间向量的应用;3、二面角

 

练习册系列答案
相关题目

违法和不良信息举报电话:027-86699610 举报邮箱:58377363@163.com

精英家教网