题目内容
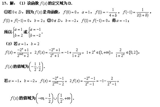
已知奇函数.
(1)求与的值;
(2)求函数的值域.
交通管理部门为了了解机动车驾驶员(简称驾驶员)对某新法规的知晓情况,对甲、乙、丙、丁四个社区做分层抽样调查.假设四个社区驾驶员的总人数为,其中甲社区有驾驶员.若在甲、乙、丙、丁四个社区抽取驾驶员的人数分别为,,,,则这四个社区驾驶员的总人数是( )
A. B. C. D.
如图,圆的半径为,点是弦的中点,,弦过点,且,则的长为 .
省环保研究所对市中心每天环境放射性污染情况进行调查研究后,发现一天中环境综合放射性污染指数与时刻(时)的关系为,其中是与气象有关的参数,且,若用每天的最大值为当天的综合放射性污染指数,并记作.
(1)令,,求t的取值范围;
(2)省政府规定,每天的综合放射性污染指数不得超过2,试问目前市中心的综合放射性污染指数是否超标?
由命题“存在,使”是假命题,求得m的取值范围是,则实数a的值是_________.
命题A:|x-1|<3,命题B:(x+2)(x+a)<0;若A是B的充分而不必要条件,则实数a的取值范围是 .
计算 .
复数z1,z2满足|z1|=|z2|=|z2-z1|=2,则|z1+z2|= .
函数的值域为 .