题目内容
已知椭圆(1)求椭圆C的方程;
(2)求
(3)若B点在于x轴的对称点是E,证明:直线AE与x轴相交于定点.
【答案】分析:(1)由题意知,
,利用点到直线的距离公式可求b,结合a2=b2+c2可求a,即可求解
(2)由题意设直线l的方程为y=k(x-4),联立直线与椭圆方程,设A(x1,y1),B (x2,y2),根据方程的根与系数关系求出x1+x2,x1x2,由△>0可求k的范围,然后代入
=x1x2+y1y2=
=
中即可得关于k的方程,结合k的范围可求
的范围
(3)由B,E关于x轴对称可得E(x2,-y2),写出AE的方程,令y=0,结合(2)可求
解答:(1)解:由题意知,
,
即b=
又a2=b2+c2
∴a=2,b=
故椭圆的方程为
(2分)
(2)解:由题意知直线l的斜率存在,设直线l的方程为y=k(x-4)
由
可得:(3+4k2)x2-32k2x+64k2-12=0(4分)
设A(x1,y1),B (x2,y2),则△=322k4-4(3+4k2)(64k2-12)>0
∴
(6分)
∴x1+x2=
,x1x2=
①
∴
=x1x2+y1y2=
=
=
=
∵
∴
∴
∴
)
(3)证明:∵B,E关于x轴对称
∴可设E(x2,-y2)
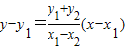
∴直线AE的方程为
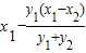
令y=0可得x=
∵y1=k(x1-4),y2=k(x2-4)
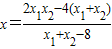
∴
=
=1
∴直线AE与x轴交于定点(1,0)
点评:本题主要考查了利用椭圆的性质求解椭圆方程及直线与椭圆相交关系的应用,方程思想的应用及向量的数量积的坐标表示等知识的综合应用.
(2)由题意设直线l的方程为y=k(x-4),联立直线与椭圆方程,设A(x1,y1),B (x2,y2),根据方程的根与系数关系求出x1+x2,x1x2,由△>0可求k的范围,然后代入
(3)由B,E关于x轴对称可得E(x2,-y2),写出AE的方程,令y=0,结合(2)可求
解答:(1)解:由题意知,
又a2=b2+c2
∴a=2,b=
故椭圆的方程为
(2)解:由题意知直线l的斜率存在,设直线l的方程为y=k(x-4)
由
设A(x1,y1),B (x2,y2),则△=322k4-4(3+4k2)(64k2-12)>0
∴
∴x1+x2=
∴
=
=
=
∵
∴
∴
∴
(3)证明:∵B,E关于x轴对称
∴可设E(x2,-y2)
∴直线AE的方程为
令y=0可得x=
∵y1=k(x1-4),y2=k(x2-4)
∴
∴直线AE与x轴交于定点(1,0)
点评:本题主要考查了利用椭圆的性质求解椭圆方程及直线与椭圆相交关系的应用,方程思想的应用及向量的数量积的坐标表示等知识的综合应用.
练习册系列答案
相关题目
已知椭圆的离心率为e,两焦点分别为F1、F2,抛物线C以F1为顶点、F2为焦点,点P为抛物线和椭圆的一个交点,若e|PF2|=|PF1|,则e的值为( )
A、
| ||||
B、
| ||||
C、
| ||||
| D、以上均不对 |
已知椭圆的离心率为
,焦点是(-3,0),(3,0),则椭圆方程为( )
| 1 |
| 2 |
A、
| ||||
B、
| ||||
C、
| ||||
D、
|