题目内容
若△ABC的面积为A.
B.
C.
D.7
【答案】分析:由△ABC的面积求得sinA=
,再由角A为钝角,可得A=
.△ABC中,由余弦定理求得BC=7,再由正弦定理求得sinB的值.由题意可得B为锐角,利用同角三角函数的
基本关系求得cosB 的值,△ABD中,由余弦定理求得AD的值.
解答:解:△ABC中,由题意可得
=
=
,∴sinA=
.
再由角A为钝角,可得A=
.
由余弦定理可得 BC2=AB2+AC2-2•AB•AC•cosA=9+25-30•cos
=49,∴BC=2BD=7.
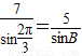
再由正弦定理可得
,即
,∴sinB=
.
由题意可得B为锐角,∴cosB=
=
.
△ABD中,由余弦定理可得 AD2=AB2+BD2-2•AB•BD•cosB=9+
-21•
=
,∴AD=
,
故选A.
点评:本题主要考查正弦定理和余弦定理的应用,已知三角函数值求角的大小,属于中档题.
基本关系求得cosB 的值,△ABD中,由余弦定理求得AD的值.
解答:解:△ABC中,由题意可得
再由角A为钝角,可得A=
由余弦定理可得 BC2=AB2+AC2-2•AB•AC•cosA=9+25-30•cos
再由正弦定理可得
由题意可得B为锐角,∴cosB=
△ABD中,由余弦定理可得 AD2=AB2+BD2-2•AB•BD•cosB=9+
故选A.
点评:本题主要考查正弦定理和余弦定理的应用,已知三角函数值求角的大小,属于中档题.
练习册系列答案
相关题目
P是△ABC所在平面上的一点,且满足
+
+2
=0,若△ABC的面积为1,则△PAB的面积为( )
| PA |
| PB |
| PC |
A、
| ||
B、
| ||
C、
| ||
D、
|