题目内容
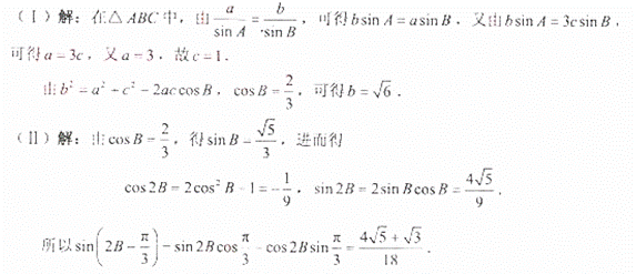
在△ABC中, 内角A, B, C所对的边分别是a, b, c. 已知, a = 3, .
(Ⅰ) 求b的值;
(Ⅱ) 求的值.
(2012年高考(浙江理))在ABC中,内角A,B,C的对边分别为a,b,c.已知cosA=,sinB=cosC.
(Ⅰ)求tanC的值;
(Ⅱ)若a=,求ABC的面积.
在△ABC中,内角A,B,C的对边分别是a,b,c,且a2=b2+c2+bc.
(1)求A.
(2)设a=,S为△ABC的面积,求S+3cosBcosC的最大值,并指出此时B的值.
在△ABC中,内角A,B,C的对边分别为a,b,c,且a2=b2+c2+bc.
(1)求A;
(2)设a=,S为△ABC的面积,求S+3cos Bcos C的最大值,并指出此时B的值.