题目内容
已知双曲线A.3
B.2
C.
D.
【答案】分析:将向量关系转化为长度关系,然后利用双曲线的定义分别将边长表示为a的关系,然后利用余弦定理建立a,c的方程,从而求出双曲线的离心率.
解答:解:因为
=3
,所以AF2=3F2B,设BF2=m,则AF2=3m,所以BF2=AB=4m.
又BF1-BF2=3m=2a,即
,
所以
,
又AF1-AF2=AF1-3m=2a,所以AF1=2a+3m=4a.
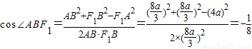
由余弦定理得
.
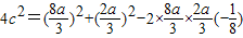
又
,
即
=8a2,
所以c2=2a2,即c=
,即离心率e=
.
故选D.

点评:本题主要考查双曲线的定义以及余弦定理的应用,将向量关系转化为长度关系,利用余弦定理求出边长和a,c之间的关系是解决本题的关键.本题运算量较大,综合性较强,考查学生的运算能力.
解答:解:因为
又BF1-BF2=3m=2a,即
所以
又AF1-AF2=AF1-3m=2a,所以AF1=2a+3m=4a.
由余弦定理得
又
即
所以c2=2a2,即c=
故选D.
点评:本题主要考查双曲线的定义以及余弦定理的应用,将向量关系转化为长度关系,利用余弦定理求出边长和a,c之间的关系是解决本题的关键.本题运算量较大,综合性较强,考查学生的运算能力.
练习册系列答案
相关题目