题目内容


如图所示,在长方体ABCDA1B1C1D1中,ABAD=1,AA1=2,M是棱CC1的中点.

(1)求异面直线A1MC1D1所成的角的正切值;

(2)证明:平面ABM⊥平面A1B1M.


方法1:(1)如图,因为C1D1B1A1,所以∠MA1B1为异面直线A1MC1D1所成的角.

因为A1B1⊥平面BCC1B1,所以∠A1B1M=90°,

A1B1=1,B1M,故

tan∠MA1B1.

即异面直线A1MC1D1所成的角的正切值为.

(2)证明:由A1B1⊥平面BCC1B1BM⊂平面平面BCC1B1,得A1B1BM

由(1)知,B1M

BMB1B=2,

所以B1M2BM2B1B2,从而BMB1M

A1B1B1MB1,∴BM⊥平面A1B1M,而BM⊂平面ABM,因此平面ABM⊥平面A1B1M.

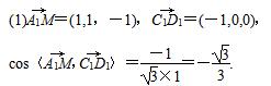
方法2:以A为原点,的方向分别作为xyz轴的正方向,建立如图所示的空间直角坐标系,则A(0,0,0),B(1,0,0),A1(0,0,2),B1(1,0,2),C1(1,1,2),D1(0,1,2),M(1,1,1).

设异面直线A1MC1D1所成角为α,则cosα

∴tanα.

即异面直线A1MC1D1所成的角的正切值是.

B1MA1B1B1

BM⊥平面A1B1M,而BM⊂平面ABM

因此ABM⊥平面A1B1M.


练习册系列答案
相关题目

违法和不良信息举报电话:027-86699610 举报邮箱:58377363@163.com

精英家教网