题目内容
设非常数数列{an}满足an+2=
,n∈N*,其中常数α,β均为非零实数,且α+β≠0.
(1)证明:数列{an}为等差数列的充要条件是α+2β=0;
(2)已知α=1,β=
, a1=1,a2=
,求证:数列{| an+1-an-1|} (n∈N*,n≥2)与数列{n+
} (n∈N*)中没有相同数值的项.
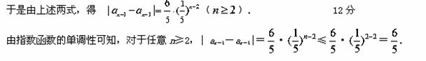
从而有n≥2时,
,
.
![]()
![]()
练习册系列答案
相关题目
题目内容
设非常数数列{an}满足an+2=
,n∈N*,其中常数α,β均为非零实数,且α+β≠0.
(1)证明:数列{an}为等差数列的充要条件是α+2β=0;
(2)已知α=1,β=
, a1=1,a2=
,求证:数列{| an+1-an-1|} (n∈N*,n≥2)与数列{n+
} (n∈N*)中没有相同数值的项.
从而有n≥2时,
,
.
![]()
![]()