题目内容
某观测站C在城A的南偏西15°方向,从城A出发有一条公路,走向是南偏东30°,在C处测得距C处7km的公路上B处有一辆汽车正沿着公路向A城开去,开3km后,到达D处,测得CD=5km.
(1)求观测站C与城A的距离;
(2)求在D处,这辆汽车跟城A还有多少km?
(1)求观测站C与城A的距离;
(2)求在D处,这辆汽车跟城A还有多少km?
解:(1)△CBD中,
,
∴∠CDB=120°
△ACD中,∠A=45°,∠ADC=60°,∠ACD=75°
∵
,
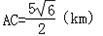
∴
(2)在△ACD中∵
,即
,
∴
∴∠CDB=120°
△ACD中,∠A=45°,∠ADC=60°,∠ACD=75°
∵
∴
(2)在△ACD中∵
∴
练习册系列答案
相关题目