题目内容


已知椭圆C的中心为坐标原点O,一个长轴端点为(0,2),短轴端点和焦点所组成的四边形为正方形,直线ly轴交于点P(0,m),与椭圆C交于相异两点AB,且 =2.

(1)求椭圆的方程;

(2)求m的取值范围.


解:(1)由题意知椭圆的焦点在y轴上,设椭圆方程为=1(ab>0),

由题意知a=2,bc,又a2b2c2,则b,所以椭圆的方程为=1.

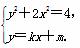
(2)设A(x1y1),B(x2y2),由题意知,直线l的斜率存在,设其方程为ykxm,与椭圆方程联立,

则(2+k2)x2+2mkxm2-4=0,

Δ=(2mk)2-4(2+k2)(m2-4)>0.

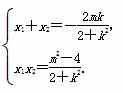
由根与系数的关系知

又由=2

即(-x1my1)=2(x2y2m),

得-x1=2x2,故

可得

整理得(9m2-4)k2=8-2m2,又9m2-4=0时不符合题意,所以k2>0,解得m2<4,此时Δ>0,解不等式m2<4得m<2或-2<m<-

所以m的取值范围为.


练习册系列答案
相关题目

违法和不良信息举报电话:027-86699610 举报邮箱:58377363@163.com

精英家教网