题目内容
已知数列{an}满足a1=1,an+1=2an+1(n∈N*)(1)求数列{an}的通项公式;
(2)若数列{bn}满足
(3)证明:
【答案】分析:(1)由题设知an+1+1=2(an+1),所以数列{an+1}是首项为2,公比为2的等比数列,所以an=2n-1.
(2)由题设知
,由此能推导出nbn-2=(n-1)bn+1,从而得到2bn+1=bn+bn-1,所以数列{bn}是等差数列.
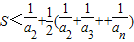
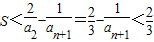
(3)设
,则
=
,由此能够证明出
.
解答:解:(1)∵an+1=2an+1,∴an+1+1=2(an+1)(2分)
故数列{an+1}是首项为2,公比为2的等比数列.(3分)
∴an+1=2n,an=2n-1(4分)
(2)∵
,
∴
(5分)
2(b1+b2++bn)-2n=nbn①2(b1+b2++bn+bn+1)-2(n+1)=(n+1)bn+1②
②-①得2bn+1-2=(n+1)bn+1-nbn,
即nbn-2=(n-1)bn+1③(8分)
∴(n+1)bn+1-2=nbn+2④
④-③得2nbn+1=nbn+nbn-1,即2bn+1=bn+bn-1(9分)
所以数列{bn}是等差数列.
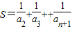
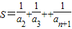
(3)∵
(11分)
设
,
则
=
(13分)
(14分)
点评:本题考查数列和不等式的综合应用题,具有一定的难度,解题时要认真审题,注意挖掘题设中的隐含条件.
(2)由题设知
(3)设
解答:解:(1)∵an+1=2an+1,∴an+1+1=2(an+1)(2分)
故数列{an+1}是首项为2,公比为2的等比数列.(3分)
∴an+1=2n,an=2n-1(4分)
(2)∵
∴
2(b1+b2++bn)-2n=nbn①2(b1+b2++bn+bn+1)-2(n+1)=(n+1)bn+1②
②-①得2bn+1-2=(n+1)bn+1-nbn,
即nbn-2=(n-1)bn+1③(8分)
∴(n+1)bn+1-2=nbn+2④
④-③得2nbn+1=nbn+nbn-1,即2bn+1=bn+bn-1(9分)
所以数列{bn}是等差数列.
(3)∵
设
则
=
点评:本题考查数列和不等式的综合应用题,具有一定的难度,解题时要认真审题,注意挖掘题设中的隐含条件.
练习册系列答案
相关题目