题目内容
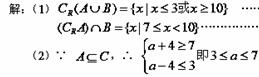
设全集为R,,,
(1)求及.
(2),且,求的取值范围.
若圆的半径为,圆心在第一象限,且与直线和轴都相切,则该圆的标准方程是 .
已知随机变量服从正态分布,,则 .
设函数则的值为( )[来
A. B. C. D.
已知函数-有两个零点,则有 ( )[来
定义:对于函数,若在定义域内存在实数,满足,则称为“局部奇函数”.
(1)已知二次函数,试判断是否为定义域R上的“局部奇函数”?若是,求出满足的x的值;若不是,请说明理由;
(2)若是定义在区间上的“局部奇函数”,求实数的取值范围;
(3)若为定义域上的“局部奇函数”,求实数的取值范围.
点在圆 上移动时,它与定点连线的中点的轨迹方程是( )
A. B.
C. D.
已知集合,集合,,则 ( )
函数的零点所在的一个区间是 ( )