题目内容
各项为正数的数列{an} 的前n项和为Sn,且满足:
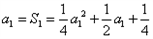
,
(1)求an;
(2)设函数
Cn=f(2n+4)(n∈N*),求数列{Cn}的前n项和Tn。
(1)求an;
(2)设函数
解:(1)由
,①
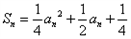
得当n≥2时,
,②
由①-②化简得:
,
又∵数列{an}各项为正数,
∴当n≥2时,
,
故数列{an}成等差数列,公差为2,
又
,
解得
;
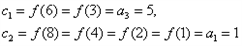
(2)由分段函数
可以得到:
;
当n ≥3,n∈N*时,
,
故当n≥3时,

,
∴
。
得当n≥2时,
由①-②化简得:
又∵数列{an}各项为正数,
∴当n≥2时,
故数列{an}成等差数列,公差为2,
又
解得
(2)由分段函数
可以得到:
当n ≥3,n∈N*时,
故当n≥3时,
∴
练习册系列答案
相关题目