搜索
题目内容
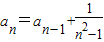
数{a
n
}满足
,
(n≥2),则a
n
的通项公式为( )
试题答案
相关练习册答案
a
n
=
﹣
练习册系列答案
快乐过暑假系列答案
同步练习册全优达标测试卷系列答案
英才教程探究习案课时精练系列答案
小学学习好帮手系列答案
初中语文阅读轻松组合周周练系列答案
小学同步三练核心密卷系列答案
剑桥小学英语系列答案
作业本江西教育出版社系列答案
新起点百分百单元测试卷系列答案
状元口算计算系列答案
相关题目
数{a
n
}满足
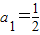
a
1
=
1
2
,
a
n
=
a
n-1
+
1
n
2
-1
(n≥2),则a
n
的通项公式为
.
已知数列{a
n
}的前n项和为S
n
,且S
n
=2
n+2
-2,n∈N
*
.
(Ⅰ)求数列{a
n
}的通项公式;
(Ⅱ)设数{a
n
}满足b
n
=
S
n
a
n
,求数列{b
n
}的前n项和T
n
.
数{a
n
}满足
,
(n≥2),则a
n
的通项公式为
.
数{a
n
}满足
,
(n≥2),则a
n
的通项公式为
.
关 闭
试题分类
高中
数学
英语
物理
化学
生物
地理
初中
数学
英语
物理
化学
生物
地理
小学
数学
英语
其他
阅读理解答案
已回答习题
未回答习题
题目汇总
试卷汇总
练习册解析答案