题目内容
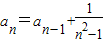
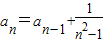
数{an}满足
【答案】分析:根据题干条件
可知an-an-1=
=
=
(
-
),即可求出数列an的通项公式.
解答:解:∵
,
∴an-an-1=
=
=
(
-
),
∴an-a1=
(1-
+
-
+…+
-
+
-
)=
(1+
-
-
),
∴an=
-
,
故答案为an=
-
.
点评:本题主要考查数列递推式的知识点,解答本题的关键是利用列项相消进行求和,此题比较简单.
解答:解:∵
∴an-an-1=
∴an-a1=
∴an=
故答案为an=
点评:本题主要考查数列递推式的知识点,解答本题的关键是利用列项相消进行求和,此题比较简单.
练习册系列答案
相关题目