题目内容
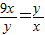
若x>0,y>0,且
【答案】分析:x+y等于x+y乘以
,展开,利用基本不等式;注意等号成立的条件.
解答:解:∵
∴
=

当且仅当
时,取等号.
故答案为16.
点评:本题考查当一个整数式子与一个分式式子在一个题中出现时,求一个式子的最值,常将两个式子乘起,展开,利用基本不等式.考查利用基本不等式求最值要注意:一正、二定、三相等.
解答:解:∵
∴
当且仅当
故答案为16.
点评:本题考查当一个整数式子与一个分式式子在一个题中出现时,求一个式子的最值,常将两个式子乘起,展开,利用基本不等式.考查利用基本不等式求最值要注意:一正、二定、三相等.
练习册系列答案
相关题目
若x>0,y>0,且x+y=5,则lgx+lgy的最大值是( )
| A、lg5 | ||
| B、2-4lg2 | ||
C、lg
| ||
| D、不存在 |