题目内容
复数
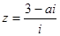
在复平面内对应的点在第三象限是a≥0的( )
A. 充分不必要条件 B. 必要不充分条件
C. 充要条件 D. 既不充分也不必要条件
【答案】
A
【解析】
试题分析:
,对应的点为
在第三象限,
∴
,∴
,∴复数
在复平面内对应的点在第三象限是a≥0的充分不必要条件.
考点:1.复数的除法运算;2.复数和点的对应关系;3.充分必要条件.
练习册系列答案
相关题目
设x,y∈R,i为虚数单位,且
=1+2i,则Z=x+yi的共轭复数在复平面内对应的点在( )
| 3+4i |
| x+yi |
| A、第一象限 | B、第二象限 |
| C、第三象限 | D、第四象限 |