题目内容
如图所示,直线y=kx分抛物线y=x-x2与x轴所围图形为面积相等的两部分,求k的值.
![]()
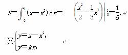
解析 抛物线y=x-x2与x轴两交点的横坐标为x1=0,x2=1,
所以,抛物线与x轴所围图形的面积
由此可得,
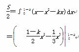
抛物线y=x-x2与y=kx两交点的横坐标为
x3=0,x4=1-k,所以,
=
(1-k)3.
又知S=
,
所以(1-k)3=
,
于是k=1-
=1-
.
练习册系列答案
相关题目
题目内容
如图所示,直线y=kx分抛物线y=x-x2与x轴所围图形为面积相等的两部分,求k的值.
![]()
解析 抛物线y=x-x2与x轴两交点的横坐标为x1=0,x2=1,
所以,抛物线与x轴所围图形的面积
由此可得,
抛物线y=x-x2与y=kx两交点的横坐标为
x3=0,x4=1-k,所以,
=
(1-k)3.
又知S=
,
所以(1-k)3=
,
于是k=1-
=1-
.