题目内容


求适合下列条件的圆的方程:

(1)圆心在直线y=-4x上,且与直线lxy-1=0相切于点P(3,-2);

(2)过三点A(1,12),B(7,10),C(-9,2).


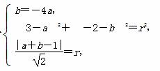
解 (1)法一 设圆的标准方程为(xa)2+(yb)2r2

则有

解得a=1,b=-4,r=2.

∴圆的方程为(x-1)2+(y+4)2=8.

法二 过切点且与xy-1=0垂直的直线为y+2=x-3,与y=-4x联立可求得圆心为(1,-4).

∴半径r=2

∴所求圆的方程为(x-1)2+(y+4)2=8.

(2)法一 设圆的一般方程为x2y2DxEyF=0(D2E2-4F>0),

解得D=-2,E=-4,F=-95.

∴所求圆的方程为x2y2-2x-4y-95=0.

法二 由A(1,12),B(7,10),

AB的中点坐标为(4,11),kAB=-

AB的垂直平分线方程为3xy-1=0.

同理得AC的垂直平分线方程为xy-3=0.

联立

即圆心坐标为(1,2),半径r=10.

∴所求圆的方程为(x-1)2+(y-2)2=100.


练习册系列答案
相关题目

违法和不良信息举报电话:027-86699610 举报邮箱:58377363@163.com

精英家教网