题目内容
数列{an}的前n项和为Sn,已知(1)求数列{an}的通项公式;
(2)若数列{cn}满足cn=
【答案】分析:(1)利用a1=s1,n≥2时,an=sn-sn-1可求
(2)结合数列的通项公式的特点,考虑对n分为偶数,两种情况,结合等差数列与等比数列的求和公式即可求解
解答:解:(1)当n=1时,a1=s1=2
n≥2时,an=sn-sn-1=
=n+1
当n=1时,a1=2适合上式
故an=n+1
(2)当n为偶数时,Tn=(a1+a3+…+an-1)+(a2+a4+…+an)
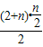
=(2+4+…+n)+(22+24+…+2n)
=

=
当n为奇数时,n-1为偶数
Tn=(a1+a3+…+an)+(a2+a4+…+an-1)
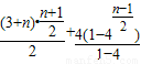
=(2+4+…+n+1)+(22+24+…+2n-1)
=
=
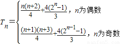
∴
点评:本题主要考查了利用数列的递推公式求解数列的通项公式及等差数列与等比数列的求和公式及分组求和方法的应用.
(2)结合数列的通项公式的特点,考虑对n分为偶数,两种情况,结合等差数列与等比数列的求和公式即可求解
解答:解:(1)当n=1时,a1=s1=2
n≥2时,an=sn-sn-1=
当n=1时,a1=2适合上式
故an=n+1
(2)当n为偶数时,Tn=(a1+a3+…+an-1)+(a2+a4+…+an)
=(2+4+…+n)+(22+24+…+2n)
=
=
当n为奇数时,n-1为偶数
Tn=(a1+a3+…+an)+(a2+a4+…+an-1)
=(2+4+…+n+1)+(22+24+…+2n-1)
=
=
∴
点评:本题主要考查了利用数列的递推公式求解数列的通项公式及等差数列与等比数列的求和公式及分组求和方法的应用.
练习册系列答案
相关题目