题目内容
已知函数y=f(x),x∈N*,y∈N*,满足:①对任意a,b∈N*,a≠b,都有af(a)+bf(b)>af(b)+bf(a);②对任意n∈N*都有f[f(n)]=3n.(I)试证明:f(x)为N*上的单调增函数;
(II)求f(1)+f(6)+f(28);
(III)令an=f(3n),n∈N*,试证明:.
【答案】分析:(1)由已知条件中对任意a,b∈N*,a≠b,我们不妨令a<b,则可将已知中af(a)+bf(b)>af(b)+bf(a)变形为(a-b)(f(a)-f(b))>0由a<b判断出f(a)-f(b)的符号,结合单调性的定义,即可作出结论.
(2)由对任意n∈N*都有f[f(n)]=3n.我们不妨令f(1)=a,然后分a<1,a=1,a>1三类进行讨论,再由a∈N*,可以求出a值,结合(1)的结论,及y∈N*,我们不难得到函数值与自变量之间的对应关系.
(3)an=f(3n),则易得f(an)=f(f(3n))=3×3n=3n+1,an+1=f(3n+1)=f(f(an))=3an,a1=f(3)=6.分析可知数列{an}是以6为首项,以3为公比的等比数列再利用放缩法可证明
成立.
解答:解:(I)由①知,对任意a,b∈N*,a<b,都有(a-b)(f(a)-f(b))>0,
由于a-b<0,从而f(a)<f(b),
所以函数f(x)为N*上的单调增函数.
(II)令f(1)=a,则a≥1,显然a≠1,否则f(f(1))=f(1)=1,与f(f(1))=3矛盾.
从而a>1,而由f(f(1))=3,
即得f(a)=3.
又由(I)知f(a)>f(1)=a,即a<3.
于是得1<a<3,又a∈N*,
从而a=2,即f(1)=2.
进而由f(a)=3知,f(2)=3.
于是f(3)=f(f(2))=3×2=6,
f(6)=f(f(3))=3×3=9,
f(9)=f(f(6))=3×6=18,
f(18)=f(f(9))=3×9=27,
f(27)=f(f(18))=3×18=54,
f(54)=f(f(27))=3×27=81,
由于54-27=81-54=27,
而且由(I)知,函数f(x)为单调增函数,
因此f(28)=54+1=55.
从而f(1)+f(6)+f(28)=2+9+55=66.
(III)f(an)=f(f(3n))=3×3n=3n+1,an+1=f(3n+1)=f(f(an))=3an,a1=f(3)=6.
即数列{an}是以6为首项,以3为公比的等比数列.
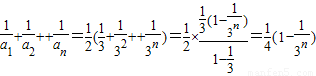
∴an=6×3n-1=2×3n(n=1,2,3).
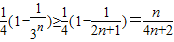
于是
,
显然
,
另一方面3n=(1+2)n=1+Cn1×2+Cn2×22++Cnn×2n≥1+2n,
从而
.
综上所述,
.
点评:(1)对于抽象函数的函数值的求法,我们不可能求出函数的解析式,但观察到af(a)+bf(b)>af(b)+bf(a)移项分解后的形式,故可据此分析函数的单调性;(2)中分类讨论求f(1)的值,及根据已知条件和(1)的结论得到f(28)值用到需要较强的逻辑能力;(3)中放缩法是证明不等式常用的方法,要求大家了解并学会使用.
(2)由对任意n∈N*都有f[f(n)]=3n.我们不妨令f(1)=a,然后分a<1,a=1,a>1三类进行讨论,再由a∈N*,可以求出a值,结合(1)的结论,及y∈N*,我们不难得到函数值与自变量之间的对应关系.
(3)an=f(3n),则易得f(an)=f(f(3n))=3×3n=3n+1,an+1=f(3n+1)=f(f(an))=3an,a1=f(3)=6.分析可知数列{an}是以6为首项,以3为公比的等比数列再利用放缩法可证明
解答:解:(I)由①知,对任意a,b∈N*,a<b,都有(a-b)(f(a)-f(b))>0,
由于a-b<0,从而f(a)<f(b),
所以函数f(x)为N*上的单调增函数.
(II)令f(1)=a,则a≥1,显然a≠1,否则f(f(1))=f(1)=1,与f(f(1))=3矛盾.
从而a>1,而由f(f(1))=3,
即得f(a)=3.
又由(I)知f(a)>f(1)=a,即a<3.
于是得1<a<3,又a∈N*,
从而a=2,即f(1)=2.
进而由f(a)=3知,f(2)=3.
于是f(3)=f(f(2))=3×2=6,
f(6)=f(f(3))=3×3=9,
f(9)=f(f(6))=3×6=18,
f(18)=f(f(9))=3×9=27,
f(27)=f(f(18))=3×18=54,
f(54)=f(f(27))=3×27=81,
由于54-27=81-54=27,
而且由(I)知,函数f(x)为单调增函数,
因此f(28)=54+1=55.
从而f(1)+f(6)+f(28)=2+9+55=66.
(III)f(an)=f(f(3n))=3×3n=3n+1,an+1=f(3n+1)=f(f(an))=3an,a1=f(3)=6.
即数列{an}是以6为首项,以3为公比的等比数列.
∴an=6×3n-1=2×3n(n=1,2,3).
于是
显然
另一方面3n=(1+2)n=1+Cn1×2+Cn2×22++Cnn×2n≥1+2n,
从而
综上所述,
点评:(1)对于抽象函数的函数值的求法,我们不可能求出函数的解析式,但观察到af(a)+bf(b)>af(b)+bf(a)移项分解后的形式,故可据此分析函数的单调性;(2)中分类讨论求f(1)的值,及根据已知条件和(1)的结论得到f(28)值用到需要较强的逻辑能力;(3)中放缩法是证明不等式常用的方法,要求大家了解并学会使用.
练习册系列答案
相关题目