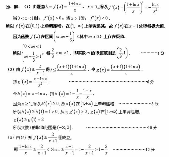
题目内容
已知
为函数
图象上一点,O为坐标原点,记直线
的斜率
.
(1)若函数
在区间![]()
上存在极值,求实数m的取值范围;
(2)当
时,不等式
恒成立,求实数
的取值范围;
(3)求证:
.
![]()
令
则
,……………………14分
所以
,
,……,
.
将以上
个式子相加得:![]()
,
故
. …………………………………16分
练习册系列答案
相关题目
题目内容
已知
为函数
图象上一点,O为坐标原点,记直线
的斜率
.
(1)若函数
在区间![]()
上存在极值,求实数m的取值范围;
(2)当
时,不等式
恒成立,求实数
的取值范围;
(3)求证:
.
![]()
令
则
,……………………14分
所以
,
,……,
.
将以上
个式子相加得:![]()
,
故
. …………………………………16分