题目内容
已知数列{an}满足:a1=1,a2=a(a>0).数列{bn}满足bn=anan+1(n∈N*).(1)若{an}是等差数列,且b3=12,求a的值及{an}的通项公式;
(2)若{an}是等比数列,求{bn}的前项和Sn.
【答案】分析:(1)先根据{an}是等差数列表示出通项公式,再根据b3=12求得a3a4的值从而可确定a的值,求得{an}的通项公式.
(2)先根据{an}是等比数列表示出通项公式,进而可表示出bn的表达式,根据
=a2可确定数列{bn}是首项为a,公比为a2的等比数列,再对公比a等于1和不等于1进行讨论,即可得到最后答案.
解答:解:(1)∵{an}是等差数列,a1=1,a2=a(a>0),∴an=1+(n-1)(a-1).
又b3=12,∴a3a4=12,即(2a-1)(3a-2)=12,
解得a=2或a=-
,
∵a>0,∴a=2从而an=n.
(2)∵{an}是等比数列,a1=1,a2=a(a>0),∴an=an-1,则bn=anan+1=a2n-1.
=a2∴数列{bn}是首项为a,公比为a2的等比数列,
当a=1时,Sn=n;
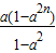
当a≠1时,Sn=
=
.
点评:本题主要考查数列的通项公式的求法和数列求和.高考对数列的考查无外乎通项公式的求法和前n项和的求法,对经常用到的常用方法要熟练掌握.
(2)先根据{an}是等比数列表示出通项公式,进而可表示出bn的表达式,根据
解答:解:(1)∵{an}是等差数列,a1=1,a2=a(a>0),∴an=1+(n-1)(a-1).
又b3=12,∴a3a4=12,即(2a-1)(3a-2)=12,
解得a=2或a=-
∵a>0,∴a=2从而an=n.
(2)∵{an}是等比数列,a1=1,a2=a(a>0),∴an=an-1,则bn=anan+1=a2n-1.
当a=1时,Sn=n;
当a≠1时,Sn=
点评:本题主要考查数列的通项公式的求法和数列求和.高考对数列的考查无外乎通项公式的求法和前n项和的求法,对经常用到的常用方法要熟练掌握.
练习册系列答案
相关题目